APP下载

微信公众号

CCMTV APP

登录后可享受
同步多端记录
个性推荐视频
登录
STTT发表CULMINATE-1研究成果,江泽飞教授、殷咏梅教授解读中国原研CDK2/4/6i突破性进展
CCMTV肿瘤频道 3690次浏览
2025-12-30
图片

引言

CDK4/6抑制剂(CDK4/6i)已成为HR+/HER2-乳腺癌的重要治疗药物,但临床实践中仍存在未被满足的治疗需求和难以克服的治疗困境,包括由CDK2激活所导致的耐药,以及与CDK6、CDK9等相关的毒副作用。库莫西利(Culmerciclib)正是我国肿瘤学专家和民族药企聚焦于临床痛点和难点所自主研发的新型CDK2/4/6抑制剂(CDK2/4/6i)。近日,Nature旗下的Signal Transduction and Targeted Therapy(STTT,2025最新IF=52.7)发表了库莫西利联合内分泌用于HR+/HER2-晚期乳腺癌二线治疗的Ⅲ期CULMINATE-1研究成果。CCMTV特邀该研究的两位Leading PI——解放军总医院肿瘤医学部江泽飞教授江苏省人民医院殷咏梅教授——解读CULMINATE-1研究的突破性结果和临床意义。


图片

热点提要

图片

01


Ⅲ期CULMINATE-1研究成果发表于STTT杂志,彰显了国产创新药物研发的创造力和实力,为新型CDK2/4/6i的临床应用提供了高质量的循证医学证据。

02


从破解CDK4/6i耐药困境,到疗效和安全性的全面提升,新型CDK2/4/6i库莫西利取得了多维度的突破性进展。

03


CDK4/6i已贯穿于HR+/HER2-乳腺癌的早期和晚期治疗,新型CDK2/4/6i有望进一步变革HR+/HER2-乳腺癌的全程管理,为患者带来更多长生存和治愈希望。

图片

《STTT》正式刊登CULMINATE-1研究


共享创新 共臻新程

国创CDK2/4/6i研究成果登顶国际舞台



图片

CCMTV




作为我国自主原研的新型CDK2/4/6i,库莫西利的Ⅲ期CULMINATE-1研究结果发表在Nature子刊STTT,您如何评价该研究成果的重磅发表?


江泽飞 教授

图片

首先,热烈祝贺国产原研CDK2/4/6i库莫西利的Ⅲ期CULMINATE-1研究取得成功,同时也祝贺其相关研究成果能够发表在国际知名期刊上,彰显了我国抗肿瘤新药研发的创造力和实力。


该新型CDK2/4/6i是基于临床痛点问题而精心设计的创新药物,从临床前研究到临床试验,再到大型Ⅲ期临床试验均获得巨大成功。此次,我有幸与殷咏梅教授共同牵头的CULMINATE-1研究取得很好的阳性结果,相关成果被影响因子超过50的STTT杂志所接收发表,为该新型CDK2/4/6i联合内分泌药物用于HR+/HER2-晚期乳腺癌二线治疗提供了高质量的循证医学证据。


同时,我们期望CULMINATE-1研究成果能尽快推动监管部门对库莫西利相关适应症的批准,让更多患者能够用上我们自己原研的产品。中国地大物博、人口众多,患者数量庞大。我们既需要国际上的原研产品进入中国,也特别希望民族企业能基于中国面临的实际问题,研发出创新性的药物。在近日举行的2025年ESMO大会上,宋尔卫院士及其团队报告了库莫西利联合氟维司群用于HR+/HER2-晚期乳腺癌一线治疗的CULMINATE-2研究,也取得了非常积极的结果。


我们特别希望库莫西利这样的新产品,能在未来的临床实践中充分发挥作用,让更多患者在良好的治疗中增加获益。


破解耐药 多维制胜

深度解析CULMINATE-1研究的亮眼数据


图片

CCMTV




结合CULMINATE-1研究的亮眼数据,您如何看待该研究在全球乳腺癌治疗领域的创新突破价值,及其对我国HR+/HER2-乳腺癌临床实践变革的潜在意义?


殷咏梅 教授

图片

CULMINATE-1研究成果的论文发表,不仅是我国乳腺癌领域国产创新药研发的里程碑事件,也为全球HR+/HER2-晚期乳腺癌治疗提供了具有突破性意义的新选择,其创新价值与临床意义主要体现在以下几方面:


首先,该研究在药物机制与研究设计层面具有全球创新突破。


作为全球首个口服CDK2/4/6i联合内分泌治疗用于HR+/HER2-晚期乳腺癌二线治疗取得阳性结果的Ⅲ期试验,该研究直击当前临床痛点——传统CDK4/6i长期应用常因CDK2激活导致耐药,且骨髓抑制毒性影响治疗依从性。库莫西利通过对CDK2、CDK4、CDK6的精准多靶点抑制,尤其强化对CDK4的选择性结合,从机制上实现了“双重目标”——既阻断肿瘤细胞周期进展,又克服耐药逃逸路径,这种创新设计为解决传统疗法局限提供了全新思路。


第二,该研究的疗效数据具有临床突破性意义。


CULMINATE-1研究主要针对内分泌经治后进展,且接受不超过1线化疗的HR+/HER2-晚期乳腺癌患者,中期分析数据证实了CDK2/4/6i联合方案的显著获益,为临床提供了高质量证据。

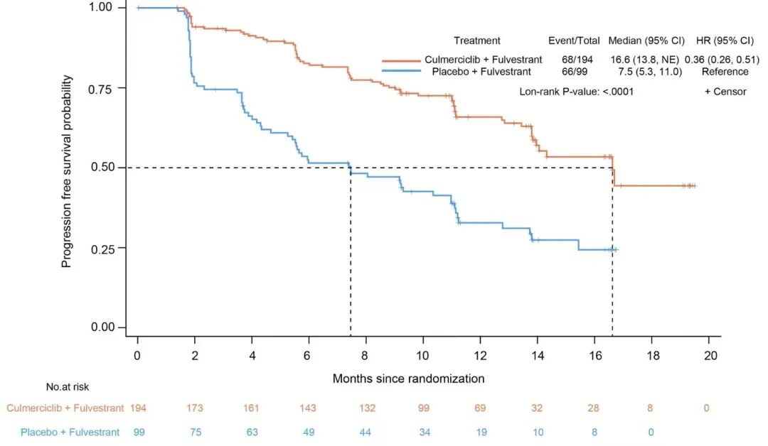
核心研究终点全面达标:库莫西利联合氟维司群组研究者评估的中位无进展生存期(PFS)为16.62个月,较氟维司群组的7.46个月延长9.16个月,疾病进展或死亡风险显著降低64%(HR 0.36,P<0.0001);独立评估委员会(IRC)的PFS获益也十分显著,分别为未达到(NR)和10.35个月,(HR 0.42,P<0.0001),均显示了具有统计学和临床意义的PFS改善。

图片

CULMINATE-1研究PFS

肿瘤缓解率的大幅提升:在意向性治疗人群(ITT)中,库莫西利联合氟维司群组确认的客观缓解率(ORR)达40.21%,是对照组(12.12%)的3倍多(P<0.0001),能够使更多患者实现疾病缓解。

图片

CULMINATE-1研究疾病缓解状况

高危难治性人群一致获益:PFS亚组分析显示,大多数亚组均可从CDK2/4/6i联合方案中获益,包括内脏转移(HR 0.45)、肝转移(HR 0.49)、内分泌不敏感(HR 0.39)、PR阴性(HR 0.33)、HER2低表达(HR 0.31)等传统治疗预后较差人群。

图片

CULMINATE-1研究PFS亚组分析

第三,该研究对我国临床实践具有多维指导意义。

破解耐药与安全性困境:库莫西利的多靶点机制为破解内分泌耐药提供了可行方案,而其安全性数据具有积极的临床意义,治疗相关不良事件(TRAEs)多为1-2级,常见的≥3级治疗期间不良事件(TEAT)为中性粒细胞降低(24.74%)、贫血(10.82%)、腹泻(7.22%)等临床易于管理的不良事件;没有发生导致治疗停药的不良事件。尽管缺乏研究直接对比,但整体上库莫西利相较于传统CDK4/6i具有更低的骨髓抑制风险,为长期治疗的依从性保障提供了数据支撑。

推动国产创新药临床落地:非常荣幸的是,由我和江泽飞教授共同担任Leading PI的Ⅲ期研究取得了阳性结果,不仅为库莫西利的两个适应症上市申请(一线与经治)提供了关键证据(CDE已分别于2024年7月、2025年7月受理),更彰显了我国在乳腺癌靶向药物领域的自主研发能力,为后续创新药研发树立了标杆。

完善治疗体系布局:随着在辅助治疗领域的Ⅲ期试验推进,库莫西利有望形成覆盖HR+/HER2-乳腺癌辅助、一线、后线的全周期治疗方案,进一步丰富我国乳腺癌规范化治疗的选择谱。





延长生存 抵达治愈

中国原研引领内分泌靶向治疗升级优化


图片

CCMTV




CDK4/6i的问世,使HR阳性乳腺癌由单药进入靶向联合时代,并且成为标准。请您谈谈内分泌靶向治疗,对于乳腺癌治疗的深远价值?


江泽飞 教授

图片

乳腺癌内分泌治疗的历史可追溯至100多年前,当时外科医生通过切除卵巢达到去势水平来治疗乳腺癌。随后,他莫昔芬、芳香化酶抑制剂等内分泌药物相继问世,并可与化疗进行联合。直到大约十年前,全球首款CDK4/6i获批上市,标志着乳腺癌治疗从单一药物迈向联合治疗时代。


过去,在将化疗与内分泌治疗进行对比时,我们常说内分泌治疗疗效相对较弱,但一旦有效,其作用持续时间较长。而如今,随着CDK4/6i的联合应用,内分泌联合靶向治疗的快速肿瘤缓解疗效可与化疗相媲美,远期的肿瘤控制和生存获益则有了进一步提升。因此,未来会有越来越多的患者选择内分泌联合治疗,这一治疗方式已改变了临床治疗格局。


此外,这类产品已从晚期乳腺癌治疗拓展至早期治疗。晚期治疗旨在使患者“延年益寿”,即延长生存期和改善生活质量,而早期治疗则致力于争取治愈。随着医学创新的不断深入,CDK2/4/6等新型药物的涌现,使得HR+/HER2-乳腺癌的治疗选择日益丰富,将使更多晚期患者实现长生存、早期患者实现治愈。我衷心希望,创新治疗能够让更多乳腺癌患者彻底摆脱疾病对生命的威胁,协助她们回归家庭,重返社会。


图片

CCMTV




对于内分泌治疗耐药的HR阳性晚期乳腺癌患者,当前的治疗决策需考量哪些核心因素?您认为CDK2/4/6i将有怎样的治疗地位?


殷咏梅教授

图片

对于内分泌治疗耐药的HR+晚期乳腺癌,当前的治疗决策需从以下核心方向考虑。(1)首先是分析患者的基线特征,包括是否存在内脏转移、肝转移等预后不良因素,以及患者的体能状态、既往治疗史,例如患者对何种内分泌药物(他莫昔芬、芳香化酶抑制剂、氟维司群)耐药?是在辅助治疗期间早期复发,还是在晚期一线治疗中快速进展?此外,还要考虑和合并症,例如有糖尿病的患者使用mTOR抑制剂需格外警惕高血糖情况。(2)第二要考虑耐药类型与机制,区分原发性耐药与继发性耐药,比如通过基因检测明确是否存在ESR1、PAM通路等靶点突变,为方案选择提供依据。(3)第三是要考虑药物安全性与可及性,结合患者对既往治疗的毒性耐受情况,优先选择安全性可控、临床数据充分的药物。


基于库莫西利在药物机制层面的创新以及CULMINATE-1等循证医学证据的积累,CDK2/4/6i的临床应用有望破解临床耐药困境,治疗地位有望得到提升。该新型药物目前已经展现了以下令人瞩目的优点:


首先是机制层面的突破创新:针对耐药核心机制设计的库莫西利通过同时抑制CDK4/6和CDK2,阻断肿瘤细胞耐药逃逸路径,其联合氟维司群在Ⅲ期临床试验中已证实可显著延长内分泌耐药患者的PFS。


再者是疗效和安全性的显著提升:相较于传统的单纯内分泌治疗,库莫西利联合氟维司群使耐药患者获得更优的PFS获益,大幅降低疾病进展/死亡风险。而且由于库莫西利对CDK6抑制较弱,降低了骨髓造血干细胞损伤,提升了耐药患者长期治疗的耐受性。


此外,库莫西利具有一定的治疗便捷性:虽然内分泌耐药后的HR+晚期乳腺癌患者可以在精准检测的基础上使用相应靶向药物,但精准检测成本高、操作复杂、相应靶向药物可及性也是困难之一。CDK2/4/6i临床应用无需进行基因检测,更具普适性,且我国民族企业的产品充分考量了我国诊疗环境,在经济性、可及性方面将更具优势。

本平台致力于为医疗卫生专业人士提供丰富的医学信息。请注意,本平台发布的内容不能替代专业的医疗建议,也不应被用作诊疗指导。如果将这些信息用于非医学信息了解的目的,本平台不承担相关责任。此外,本平台对发布的内容并不代表赞同其描述和观点。如有涉及版权问题,请权利人与我们联系,我们将尽快处理。

— END —

图片

CCMTV临床频道注册会员数据突破210万+,平均每日更新视频及资讯内容300余条,目前拥有医学视频数量10万+,累积时长达185万+分钟,致力于打造贯穿医学教育全过程的专业服务平台。CCMTV药械营销推广覆盖开发期(上市前)、导入期(上市)、成长期、成熟期、衰退期。通过CCMTV朱雀AI大模型,实现权威精准触达和智能反馈分析,助力药械推广进入数字化闭环营销时代。

发送
CCMTV肿瘤频道
关注公众号及时获取最新资讯
扫一扫关注公众号